Erythropoietin: A Molecular Marvel and Ethical Dilemma
Exploring the science, ethics, and controversy behind erythropoietin in sport and medicine.

A Molecular Marvel
Erythropoietin is a molecular marvel due to its ability to improve people's health and lives when used for medical treatment. Its targeted action on red blood cell production makes it a life-changing medication for individuals suffering from specific conditions. However, its use outside clinical settings, particularly in sport, has sparked debate over safety, fairness, and long-term health risks. While some view EPO as a therapeutic breakthrough, others raise concerns about misuse, ethical boundaries, and the adequacy of current detection methods. Ethical concerns arise regarding the exploitation of EPO for performance enhancement, which undermines the principle of equal opportunity and endangers athlete welfare due to associated health risks. This tension makes EPO a compelling topic at the centre of science, medicine, and public policy.

What is Erythropoietin?
Erythropoietin (EPO) is a hormone vital for red blood cell production. Originally developed to treat anaemia, especially in patients with kidney disease or undergoing chemotherapy. Later, however, it gained notoriety in sport for boosting endurance by artificially increasing red blood cell counts.
Biochemically, EPO is a glycoprotein of 165 amino acids. With sugar chains, its weight significantly increases, with carbohydrates making up about 40% of this increase. Sugars like sialic acid stabilise the hormone and extend its lifespan. EPO belongs to the cytokine family, featuring a four-α-helix bundle structure reinforced by disulfide bonds that preserve its shape and receptor-binding ability.
Medically, EPO is produced via recombinant DNA technology by inserting the human gene into mammalian cells, typically ovary or kidney, which act as protein factories. These cells also perform key modifications like folding, glycosylation, and bond formation to ensure biological activity.
Recently, chemical and chemoenzymatic methods have enabled full lab synthesis of EPO. These allow precise assembly of peptide and glycopeptide segments, followed by controlled sugar-chain addition, producing uniform glycoforms useful for studying EPO’s function and developing improved therapies.

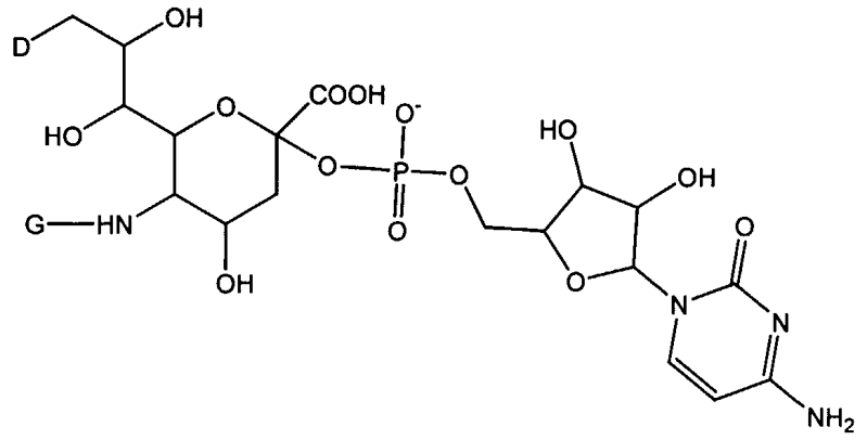
Chemical Structure
Above is the core chemical structure of EPO, however, this can differ slightly when sugar chains are added, lengthening branches at the nitrogen and oxygen-linked sites. EPO is a protein with sugar chains attached, and those sugar chains can differ depending on how and where the hormone is made. These differences don’t change the core protein itself, but they do affect how long EPO lasts in the body and how well it works. For example, EPO made naturally in the human body might have slightly different sugars compared to EPO made in a lab for medical use. These structural differences are important, not just for how EPO works, but also for detecting if someone is using it illegally in sport.

Medical use of Erythropoietin
Erythropoietin (EPO) is a hormone that helps the body respond to low oxygen levels by stimulating red blood cell production, a process called erythropoiesis. When tissue oxygen drops, the kidneys activate transcription factors, notably HIF-1α, which stabilises and triggers EPO production. The hormone enters the bloodstream, travels to the bone marrow, and binds to receptors on immature red blood cells.
This binding initiates a signalling cascade that promotes cell survival, multiplication, and maturation. By preventing cell death and encouraging development, EPO boosts red blood cell count, enhancing the blood’s oxygen-carrying capacity to muscles and organs.
Clinically, synthetic or recombinant EPO treats anaemia in patients with chronic kidney disease, those undergoing chemotherapy, and individuals with HIV/AIDS or other conditions affecting natural EPO production. Its medical use has significantly improved quality of life and reduced reliance on blood transfusions. However, these same benefits have made EPO attractive to athletes seeking to enhance endurance and performance by artificially raising red blood cell levels, leading to misuse in sport and sparking ongoing ethical and regulatory debates.